October 18, 2012

Laboratorio 4

Para esta semana me tocó entregar el siguiente problema:

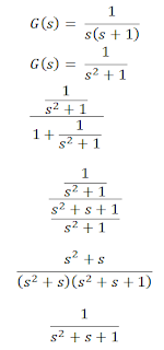
Considere la respuesta escalón unitario de un sistema de control realimentado unitariamente cuya función de transferencia en lazo abierto es

Obtener el tiempo de subida, el tiempo pico, la sobreelongación máxima y el tiempo de asentamiento.

Procedimiento


  • Obtener el factor de amortiguamiento
La fórmula para obtener el factor de amortiguamiento es la siguiente:
Esta fórmula la igualamos al despeje que hicimos al principio

De esta igualdad despejaremos ϵ que es nuestro factor de amortiguamiento, se iguala a 1 ya que es el coeficiente de s que esta del lado derecho de la igualdad

Ahora ocupamos el valor de Wn y este lo obtenemos utilizando la igualdad; lo que haremos sera igualar Wn^2 a 1 ya que es el valor correspondiente según la igualdad

Ya teniendo Wn volvemos a la ecuación del factor de amortiguamiento ϵ para obtener su valor.


  • Sobreelongación máxima

Ahora vamos a obtener la sobreelongación máxima

Seguiremos con el Tiempo de Asentamiento (Ts), investigando por la red observé que utilizaban criterios y los más comunes con 2% y 4%, para este ejercicio utilicé un criterio del 2%. Para hacer esto utilicé la siguiente fórmula:


  • Tiempo pico
Luego calculamos el tiempo pico, el cual tiene como fórmula la siguiente ecuación:
Como podemos observar necesitamos el valor de Wd el cual se obtiene de la siguiente manera:
Ya teniendo Wd regresamos a la ecuación del tiempo pico:


  • Tiempo de subida
Por último obtuve el valor del tiempo de subida:
Para resolver esto necesitamos el valor de beta el cual lo obtenemos de la siguiente manera:

Ahora podemos volver a calcular el tiempo de subida:

1 comment:

  1. Hubiera sido muy fácil verificar esto graficando la respuesta en Octave. Van 14 pts.

    ReplyDelete